氣候變化與社會經濟發展共同作用下青藏高原畜牧業災損風險評估
氣候變化造成的致災因子頻率與強度變化可能顯著地改變損失風險;而社會經濟發展則通過改變脆弱性和暴露度改變災害損失風險。青藏高原經歷著速率為全球平均水平2-3倍的升溫和與之相伴的降水量增加。然而,氣候變化可能對高原畜養的三千余萬牲畜和超過五百萬依賴畜牧業生產的(農)牧民產生何種影響,還尚未有過系統的評估。

圖1 氣候變背景下青藏高原畜牧業因災損失風險變化
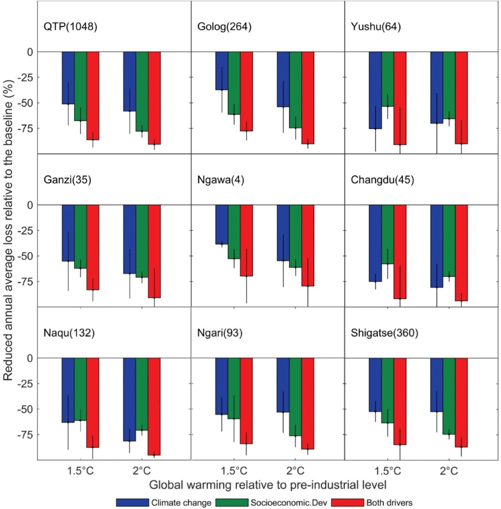
“地質環境與災害”任務“綜合災害風險評價與防御”專題研究團隊利用經過精細偏差校正的青藏高原高空間分辨率氣候數據和中國區考慮二孩政策的GDP預估數據,驅動基于雪災事件模擬的牲畜損失評估模型,評估了2010-2100年間SSP2-RCP4.5和SSP5-RCP8.5情景下的畜牧業多災種損失風險,量化了氣候變化與社會經濟發展在風險變化中的相對貢獻。在此基礎上,模擬了全球溫升1.5 °C和2 °C目標下畜牧業損失風險的差異,給出了適應措施建議。多模式集合模擬的結果顯示,氣候變化將使冬季雪災的頻率和強度出現雙下降。SSP5-RCP8.5情景下,年度因災死亡牲畜數量將以4% yr?1的速率降低;其中,氣候變化貢獻51%(2.1% yr?1)、社會經濟發展貢獻49%(2% yr?1)。全球溫升2 °C條件下,青藏高原年均牲畜死亡數將比基準時期下降91%;如將溫升控制在1.5°C,年均牲畜死亡數將少下降五個百分點。在控制溫升1.5°C的前提下,由增暖帶來的雪災頻率與強度變化將相應減少;如要取得與溫升2 °C相同的風險減輕效果,則需要大幅提升研究區當地設防投入在GDP的比重至基準期水平的約2倍。

圖2 全球溫升1.5 °C和2 °C條件下青藏高原畜牧業因災損失風險的變化
本研究首次提供了氣候變化與社會經濟發展共同驅動下青藏高原畜牧業因災損失風險的評估結果,并從側面說明增暖在特定地區和行業可能帶來的利好效果。該研究也為進一步開展青藏高原及毗鄰山區多災種綜合風險評估奠定了良好基礎。
論文信息:Tao Ye, Weihang Liu, Shuo Chen, Deliang Chen, Peijun Shi, Aihui Wang, Yijia Li, Reducing livestock snow disaster risk in the Qinghai–Tibetan Plateau due to warming and socioeconomic development, Science of The Total Environment, 2021, 151869
